← Previous
Q24.In a 3D structure made of cubes of equal size, an L shaped hole is made by removing a few cubes, as shown on the left. Which of the 3D structures in the options on the right would successfully pass through the L shaped hole, given that they are also made of cubes of same size?
Next →
Q26.The figure shows four road networks. Which of these four road networks can be traversed by a traveller, such that the following challenge can be satisfied: 'The traveller must cover all the roads in the network. She is allowed to visit a city more than once, but she is not allowed to travel on any road more than once. Also, the traveller must come back to the city where she starts.'
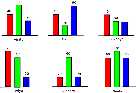
UCEED2019Q25·msq·Hard
The figure given below shows six bar charts corresponding to the volume of agricultural produce from farms of various farmers. The actual quantities are also shown in the figure. Red bars indicate tomatoes, green bars indicate leafy vegetables, and blue bars indicate berries. Assume that they have seen each other's bar charts. Who can correctly make at least one of the following statements? (i) Everyone who produced any one item more than what I produced, she also produced every other item more. (ii) Everyone who produced one item less than what I produced, she also produced at least one other item less.

Explore by topicAnalytical Reasoning Questions